Först: En introduktion till biokemi
Biokemi = Livets kemi!
Gränsen mellan biologi och kemi är ej skarp!
Gränsen mellan biologi och kemi är biokemi!
Fyra "byggstenar" (typer av biomolekyler) bygger upp allt liv:
- Aminosyror
- Bygger upp proteiner
- Kolhydrater
- Byggstenar i ffa växtceller, men ingår också i djurceller
- Nukleotider
- Bygger upp nukleinsyrorna
- Lipider
- Ingår i bl.a. cellmembran
Fetter
Fetter är glyceryltriestrar av fettsyror.
- Kom ihåg: När en alkohol reagerar med en karboxylsyra, bildas en ester.
När en glycerolmolekyl reagerar med tre karboxylsyror, bildas en glyceryltriester.
Stearinsyra är en fettsyra!
Vad kännetecknar omättade fetter?
- De är inte mättade på väte, d.v.s. de har minst en dubbelbindning.
Hur funkar tvål?
Tvålmolekylen (fettsyran) har en hydrofil del (karboxylgruppen) och en hydrofob del (kolkedjan).
Den hydrofoba delen löser sig i fettdroppen, de hydrofila delarna stannar utanför.
Genom att tvålmolekyler löser sig i fettdroppen (smutsen) görs fettet lösligt i vatten, och kan sköljas bort med tvättvattnet.
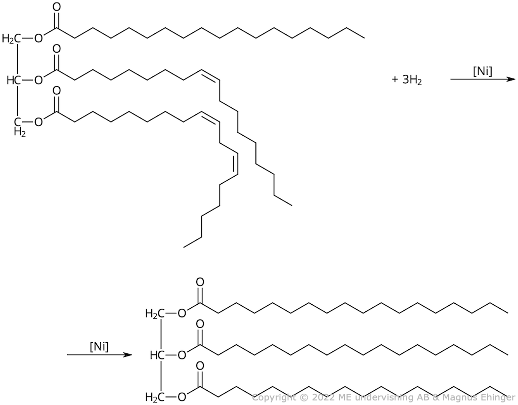
Fetthärdning
Växtfetter innehåller många omättade fettsyrarester.
- ”Spretigare” fettmolekyler.
- Färre van der Waals-bindningar.
- Lägre smältpunkt.
För att få margarin:
- Fettet härdas genom att H2 adderas över dubbel-bindningarna (med Ni som katalysator).
- Fettsyraresterna ”rätas ut”.
- Fler van der Waals-bindningar.
- Högre smältpunkt.
Vid fetthärdning adderas vätgas över dubbelbindningarna i fettsyraresterna.
Fosfolipider bildar biologiska membran i celler.
Fosfolipider i vattenlösning
Fettsyror kan bilda miceller.
Fettsyror har en hydrofob & hydrofil del.
I vattenlösning lägger sig fettsyrorna spontant i miceller (bollar av fettsyror) där de hydrofila delarna pekar utåt, mot vattnet, och de hydrofoba delarna inåt, mot de andra hydrofoba svansarna.
Fosfolipider i vatten orienterar sig som miceller eller liposomer.
- Hydrofila huvuden hela tiden "utåt" mot vattenlösningen.
- Hydrofoba svansar hela tiden "inåt" mot andra hydrofoba svansar.
Cellmembranet är ett dubbellager av fosfolipider.
- I princip en liposom som "dragits ut" och blivit längre/större.
Cellmembranet är "flytande"
Fosfolipiderna i ett cellmembran flyter hela tiden runt, om varandra.
Vad händer med membranet om det är många omättade fettsyror?
- Det blir färre van der Waals-bindningar mellan fosfolipiderna.
- Detta gör att smältpunkten för membranet sjunker – membranet blir mer flytande, mera lättrörligt.
Hur ser proteiner ut som sitter i membranet? Hydrofoba eller hydrofila?
- Hydrofoba delar sitter inbäddade i membranet.
- Hydrofila delar sticker ut antingen på insidan eller utsidan av membranet.
En del av ett cellmembran med proteiner instuckna i membranet.
Steroider
Har en grundstruktur av tre kondenserade 6-ringar, kondenserad med en 5-ring.
Ringformationen är oftast hydrofob.
Andra grupper som är kopplade till ringformationen gör molekylen mer eller mindre hydrofil.
- Kolesterol (nedan till vänster) har en svagt polär del i och med OH-gruppen.
En del steroider är viktiga hormoner:
- Testosteron (manligt könshormon).
- Östrogen (kvinnligt könshormon).
Lägg märke till vad lika testosteron och östrogen är!
- Bara några få atomer och bindningar skiljer alltså män från kvinnor…



