Vi tittar på reaktionen mellan ättiksyra (etansyra) och metanol. Det bildas metylacetat (metyletanoat) och vatten.
I naturen katalyseras reaktionen med hjälp av enzymer. Reaktionen kan också katalyseras av vätejoner i svavelsyra.
I första steget protoneras ättiksyran (etansyran) av den starka syran så att det bildas en karbokatjon:
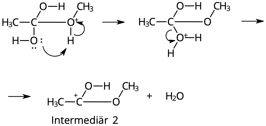
Metanolen kan nu göra en nukleofil attack på den positivt laddade kolatomen:
En serie omlagringar av elektroner och väte gör att det bildas en ny intermediär och vatten:

Den plusladdade kolatomen tar upp en elektron så att det uppstår en dubbelbindning och den urpsrungliga vätejonen avges till lösningen igen:




