![]()
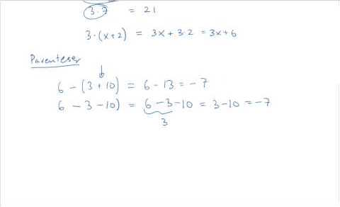
En genomgång av den kommutativa räknelagen och den distributiva räknelagen.
För innehållet i videon svarar YouTube-användaren Polhemsjocke. Vänd dig gärna till honom om du har några frågor!
— Allt du behöver för A i Biologi, Kemi, Bioteknik, Gymnasiearbete med mera.
![]()
En genomgång av den kommutativa räknelagen och den distributiva räknelagen.
För innehållet i videon svarar YouTube-användaren Polhemsjocke. Vänd dig gärna till honom om du har några frågor!