Ribos och kvävebas kondenseras till en nukleosid
Nukleotider
Nukleotider bygger upp DNA- och RNA-molekylerna.
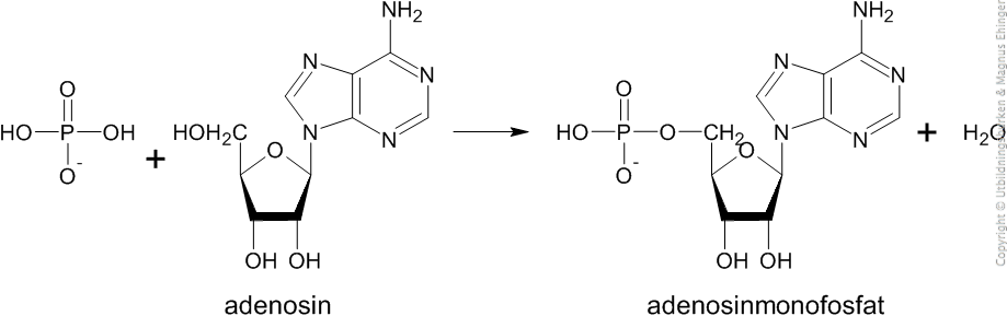
I en nukleotid har en fosfatgrupp kondenserat med en nukleosid. Det bildas en fosfoester.
- Vi har en fosfoesterbindning mellan fosfatgruppen och nukleotiden.
- Nukleotiden fungerar som alkohol i esterbildningen.








